Is math erotic?
As the universities die, real education may have a renaissance.
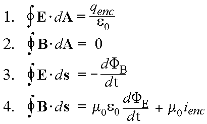
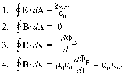
The most shining moment of my education as a physics major at U.C. Santa Barbara came in the final lecture of an upper-division course on electricity and magnetism. We had learned the facts early in the semester, and could do the problem sets. Then the instructor, Nobel laureate Bob Schrieffer, seemed to take us backwards. He spent a few lectures plumbi…



